”Skatt ved reisens slutt”

Selv om tittelen til denne delen er inspirert av Erik Fosnes Hansens ”Salme ved reisens slutt”, er det ingen likhetstrekk i innholdet.

Dette avsnittet er hentet fra side 95 i læreboken:

suppl9-a.jpg

I noen tilfeller vurderer vi et prosjekts lønnsomhet ut fra kontantstrømmer før skatt. Det kan være en brukbar angrepsmåte hvis skattesystemet kan forventes å virke nokså likt på alle alternativene. I så fall sier vi at skattesystemet er nøytralt. Før den store skattereformen i 1992 var dette ofte en urealistisk antakelse, og da måtte vi ta utgangspunkt i kontantstrømmer etter skatt. Et av hovedformålene med skattereformen var å komme nærmere et nøytralt skattesystem. Derfor er det vanligvis mindre galt nå enn tidligere å basere nåverdiberegninger på kontantstrømmer før skatt.

Lønnsomhetsvurdering av et prosjekt basert på kontantstrømmer før skatt er alltid en tilnærming. I kapittel 2 tok vi også en forenklende forutsetning da vi budsjetterte prosjektets kontantstrøm etter skatt. Vi antok at skattemessig tap eller gevinst ved avvikling ga full skatteeffekt i salgsåret. Forenklingen innebærer at vi ved en bokført gevinst (tap) undervurderer (overvurderer) prosjektets lønnsomhet. Vi skal nå se nærmere på den økonomiske betydningen av denne snarveien.

For P. Dal fremkommer tallene i tabell 2.15.

suppl9-b.jpg

Meravskrivningen i år 2013 er hentet fra denne tabellen:

Saldosats
20 %
År Bokført verdi Avskrivning Akkumulerte avskrivninger
2010
8 800
2011
7 040
1 760
1 760
2012
5 632
1 408
3 168
2013
4 506
1 126
4 294

Du kan kontrollere at bokført verdi ved avvikling er 4 506’ kroner ved å trekke akkumulerte avskrivninger på 4 294’ kroner fra initialinvesteringen på 8 800’ kroner. Hvis restverdien (salgsverdi av anlegget) er lik bokført verdi, blir skatteeffekten ved salg null. Dette er rimelig siden de skattemessige avskrivningene i driftsfasen da akkurat tilsvarer verdifallet. For P. Dal er restverdien 1 045’ kroner lavere enn bokført verdi (3 461’ – 4 506’), så det oppstår et salgstap.

Når en investering I aktiveres og avskrives med saldosatsen ss, er bokført restverdi i år t (BRVt) og avskrivning (AVt) gitt ved:

suppl9-c.jpg

Spart skatt som følge av ett års avskrivning er dermed AVt · s, der s er skattesatsen.

Ifølge skattereglene fortsetter avskrivningene inntil bokført verdi når 15 000 kroner. Da kan gjenværende saldo utgiftsføres i sin helhet. Utviklingen i bokført verdi og årlig avskrivning er vist på figuren under: 

suppl9-d.jpg

 

Figuren viser at investeringen til P. Dal har skattemessige konsekvenser i mange år etter at prosjektet er avsluttet etter tre år. Sett i dette perspektivet kan det virke som en dramatisk forenkling å henføre alt som skjer i årene etter at prosjektet er avsluttet, til år 3. Jo mer restverdien avviker fra bokført verdi, desto større blir avviket.

Grensen for samlet utgiftsføring går ved 15 000 kroner uansett saldogruppe og opprinnelig investeringsbeløp. Tabellen under viser hvor mange år det tar før en investering når en bokført verdi på 15 000 kroner.

Aktivert beløp
1 000
8 800
400 000
Saldosats
30 %
12
18
29
20 %
19
29
46
14 %
28
42
68
12 %
33
50
80
5 %
82
124
199
4 %
103
156
250
2 %
208
316
504

For P. Dal er den aktiverte investeringen 8,8 mill. kroner og saldosatsen er 20 %. Det tar da 29 år før hele den bokførte verdien kan utgiftsføres. Hvis det investeres 400 mill. kroner i en eiendom med saldosats 2 %, er det tilsvarende antall år 504.

I prinsippet og ved bruk av regneark er det ikke noe problem å budsjettere kontantstrøm for flere hundre år inn i fremtiden. Siden formlene for bokført restverdi og årlig avskrivning er såpass enkle, er det likevel fristende å oppsummere avskrivningenes skattemessige effekt ved hjelp av en formel.

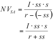
Formel 3.16 gir nåverdien av en uendelig annuitet med konstant vekst. Ved utledning av denne formelen er det ikke tatt noen forutsetninger om fortegnet på veksten. Men utviklingen i årlig avskrivning og den tilhørende skattebesparelse er også en annuitet med konstant vekst, men her er veksten negativ og lik saldosatsen. Første års avskrivning er I · ss, og spart skatt første år som følge av første års avskrivning er dermed I · ss · s. Dette beløpet er altså X1 i formel (3.16). Nåverdien av spart skatt som følge av alle avskrivninger (NVsa) er dermed gitt ved:

suppl9-e.jpg

La oss anta at r, som i dette tilfellet er nominell kapitalkostnad til egenkapitalen etter skatt, er 10 %. Da blir nåverdien ved tidspunkt null av skattebesparelsen i P. Dal-tilfellet:

suppl9-f.jpg

Dette resultatet er rimelig siden skattebesparelsen ved direkte utgiftsføring i år null ville hatt en nåverdi på 2,464 mill. kroner (8,8” · 0,28). Det er plausibelt at reduksjonen til 1,643 mill. kroner skyldes diskonteringen.

Siden formelen over er så enkel å huske og bruke, har det i mange sammenhenger vært vanlig å separat beregne nåverdien av spart skatt pga. avskrivninger. Det innebærer at vi ser bort fra avskrivningene når vi budsjetterer skattbart overskudd. Effekten av avskrivningene tar vi hensyn til med formelen over. Ligningen under viser at de to måtene å budsjettere på, gir samme resultat.

suppl9-g.jpg

Her er Xt skattbart resultat før avskrivninger. Venstre side av ligningen er slik vi budsjetterte i kapittel 2. På høyre side av ligningen beregner vi derimot først resultat etter skatt som om vi ikke hadde hatt avskrivninger. Deretter godskriver vi prosjektet for skattebesparelsen på grunn av årets avskrivninger.

Det er flere grunner til at vi har valgt å bruke fremgangsmåten på venstre side i ligningen over.

  • Nåverdiberegning av all fremtidig skatt bygger på en rekke nokså strenge forutsetninger, blant annet at selskapet kommer til å være i skatteposisjon i hele perioden (som vi så i tabellen over, kan dette gjelde svært mange år). Dessuten antas det at saldosats, skattesats og avkastningskravet er konstante i hele perioden. 
  • Når vi beregner et prosjekts nåverdi ut fra venstresiden i ligningen over, får vi automatisk frem prosjektets likviditetsvirkning etter skatt hvert enkelt år. I mange tilfeller kan det være en viktig del av beslutningsgrunnlaget. 
  • Ved bruk av formler er det en forutsetning at ikke bare analytikeren, men også beslutningstakeren, forstår og har tiltro til formelens relevans. Vår erfaring er at det er lettere å diskutere et prosjekts lønnsomhet med utgangspunkt i en kontantstrøm fremfor i en formel.

Når vi likevel i dette avsnittet velger å bruke en nåverdiberegning av skatten, er det fordi vi ønsker en metode som kan belyse effekten av vår forenklende forutsetning om å henføre alle skatteeffekter etter prosjektets avvikling til siste driftsår.

Ved direkte kostnadsføring av salgstapet i siste driftsår (1 045’ kroner) oppnår P. Dal en skattebesparelse på 293’ kroner i år tre (1 045’ · 0,28). Ved å bruke nåverdiformelen på tidspunkt tre finner vi nåverdien av skattebesparelsen hvis vi antar at den strekker seg uendelig langt inn i fremtiden:

suppl9-h.jpg

Feilen ved direkte utgiftsføring, målt i nåverdi ved tidspunkt tre, er altså ca. 98’ kroner (292’ – 195’). Det tilsvarer 74’ kroner ved tidspunkt null. Dermed har vi en enkel metode for å beregne den økonomiske effekten av en forenkling i de tilfeller vi har grunn til å tro at den kan være viktig.

For fullstendighetens skyld nevner vi at nåverdiformelen overser at en investering utgiftsføres i sin helhet når bokført verdi er nådd 15 000 kroner. Effekten av denne forenklingen er for alle praktiske formål neglisjerbar.

Før skattereformen var beskatning av salgsgevinster vesentlig mer gunstig enn i dag. Dessuten var saldosatsen i enkelte grupper såpass høy i forhold til investeringens levetid at det i mange tilfeller oppsto store salgsgevinster (særlig ved skip og fly). Utstrakt bruk av kommandittselskaper som flyttet avskrivninger og salgsgevinster over fra skipsrederier og flyselskaper til privatpersoner, var trolig en viktig årsak til skattereformen.

I noen analyser ser en bort fra skatt med henvisning til at "bedriften har store fremførbare underskudd og kommer derfor ikke i skatteposisjon i løpet av prosjektets planperiode". Selv om et prosjekt gir skattemessig overskudd i ett eller flere år i planperioden, er prosjektets kontantstrøm før og etter skatt med en slik forutsetning like. Men et prosjekt har likevel skattemessige konsekvenser idet bedriftens fremførbare underskudd ved planperiodens slutt er lavere enn hva den ville vært uten prosjektet. Det kan føre til at bedriften en gang etter planperiodens slutt kan komme til å måtte betale mer skatt enn hva den hadde måttet dersom den ikke hadde akseptert prosjektet. Denne eventuelle merutbetalingen har vi sett bort fra. Teoretisk sett har vi da overvurdert prosjektets verdi, men vi vil tro at den praktiske betydningen av denne overvurderingen i de aller fleste tilfeller er neglisjerbar. For øvrig kan underskudd bare fremføres i inntil ti år, og det taler også for å se bort fra eventuell økt skatt etter planperiodens slutt.

Vi har i dette avsnittet blant annet vist hvordan vi kan beregne virkningen av en forenklende forutsetning. Det kan være aktuelt i mange andre sammenhenger, for eksempel hvis vi antar at alle priser og kostnader stiger i takt med den generelle prisstigningen. I slike tilfeller bør du som en del av prosjektanalysen beregne virkningen av forenklingen. Hvis effekten er liten, kan du enten skrive det inn i din analyse, eller du kan ha svaret klart dersom noen angriper analysen som urealistisk på grunn av snarveier. Hvis effekten er stor, bør du droppe forenklingen og gjennomføre en mer realistisk analyse. Det er uansett ikke noen vits i å kvele beslutningstaker med all verdens utskrifter med detaljerte forutsetninger så lenge alle analysene gir omtrent samme resultat.

Spinner

Login